free hit counter code Liberty University Math Assessment

Liberty University Math Assessment

Best Wallpaper Ideas website. Search anything about Wallpaper Ideas in this website.

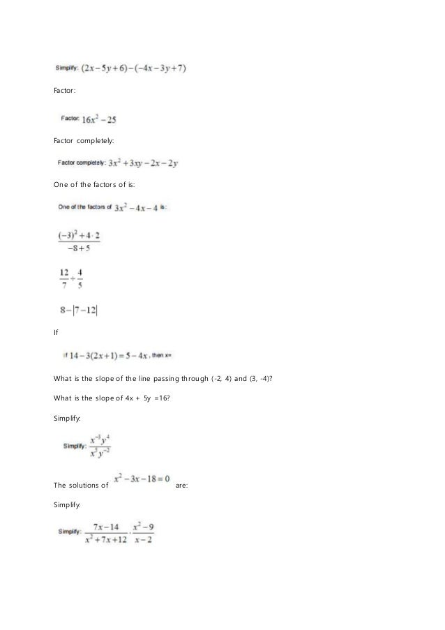
Liberty University Math Assessment. Complete Latest 2020 Solutions. Webassign homework Guide Chapter 54 and 64 and 7.

Univ 104 Math Assessment Liberty University Coursehero Answers Docx Univ 104 Math Assessment Liberty University Coursehero Answers Part 1 And Part 2 I Course Hero
Univ 104 Math Assessment Liberty University Coursehero Answers Docx Univ 104 Math Assessment Liberty University Coursehero Answers Part 1 And Part 2 I Course Hero from www.coursehero.com

Liberty University Math Assessment - Part 1. Liberty university math placement test Menu. The Smiths spend 15 of.

View Test Prep - Liberty University Math Assessment - Part 1docx from CLST 103 at Liberty University.

MATH 126 and 128 570 old or 590 new or higher on SAT Math or 25 or higher on ACT Math or Passed MATH 121 with a grade of C or higher. Question 3 The Smiths spend 15 of their monthly income on utilities. LUO Math Assessment Part 1 Part 2 answers solutions SUPERB Liberty University TA. Attempt score 23 out of 30 points.